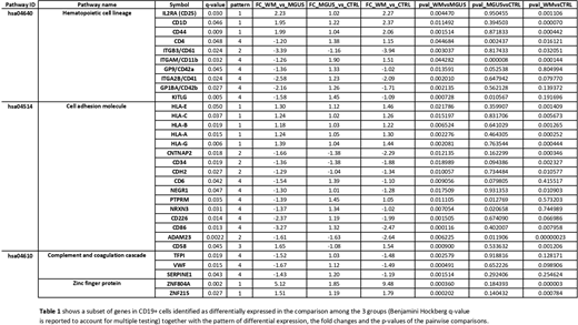
We performed gene expression profiling (GEP) of 36 patients with Waldenström's Macroglobulinemia (WM), 13 subjects with Monoclonal Gammopathy of Uncertain Significance (IgMMGUS), and 7 healthy subjects (CTRLs) by Affymetrix GeneChip Human Genome U133 Plus 2.0. GEP was performed on 36 WM bone marrow (BM) CD19+ cells vs. 10 IgMMGUS BM CD19+cells vs. 7 CTRLs BM CD19+ cells. We analyzed 32 WM BM CD138+ cells vs. 10 IgMMGUS BM CD138+ cells vs. 7 CTRLs BM CD138+ cells by microarray. Data was preprocessed and normalized using RMA and ComBat and analyzed using Statistical Analysis for Microarrays (SAM) on 3 groups and a false discovery rate threshold of 5%, followed by a pair-wise SAM test. We found 2038 and 29 unique genes in the comparison between WM, IgMMGUS and CRTLs in CD19+ and CD138+ cells, respectively. There were 16 differently expressed (DE) genes in common between the CD19+ and the CD138+ cells. Genes were grouped accordingly to the following patterns of differential expression: 1) WM>MGUS>CTRL, 2) WM<MGUS<CTRL, 3) WM>MGUS but MGUS<CTRL, 4) WM<MGUS but MGUS>CTRL (Tab.1). Functional enrichment analysis and annotation clustering (DAVID) were run on each pattern.
We demonstrated gene expression changes between WM, IgMMGUS and CTRLs in genes encoding hematopoietic cell lineage markers. We showed thatIL2RA, CD1D,andCD44were over expressed in WM vs. IgMMGS, and WM vs. CTRLs.CD25expression characterizes Waldenström's clone (García-Sanz et. al. Best Pract Res Clin Haematol 2016). The over expression ofCD1Don WM B cells compared to IgMMGUS and CTRLs, suggests its possible role as a marker in WM as previously shown in B-cell chronic lymphoproliferative disorders (Kotsianidis et. al. Am J Clin Pathol 2011). We found thatCD44,encoding a glycoprotein over expressed in cancer stem cells, was up regulated in WM B cells compared to the same cell counterpart of IgMMGUS and CTRLs (Chen et. al. J Hematol Oncol 2018).
Functional clustering identified several genes encoding cell adhesion molecules (CAM) which are expressed on the surface of B lymphocytes and are involved in the binding with other cells, immune response (T cells), and inflammation. Class I histocompatibility genesHLA-A, HLA-C, HLA-B, HLA-E,andHLA-Gwere over expressed in WM vs. IgMMGUS, and WM vs. CTRLs. Previous studies demonstrated the higher levels of HLA-Gs in WM and IgMMGUS compared to CTRL. Moreover, HLA-G could represent a marker of clonality since high levels of HLA-Gs were observed in both IgG and IgA MGUS and MM patients (Moreau et. al. EJH 2008).
CNTNAP2andADAM23were down regulated in WM vs. CTRLs.CNTNAP2,encoding CASPR2 protein, is expressed in CNS and PNS and is involved in neurodevolpmental disorders and the autoimmune disease Sjogren's syndrome (SS) (Xiao Clin Rheumatol 2017). In addition, Caspr2 and ADAM23 take part in the peripheral neuropathy by controlling the activity of potassium channels in neurological autoimmune diseases (Saint-Martin et al. Eur J Neurosci 2018). We can speculate the role of both genes in WM patients with Sjogren's syndrome.
VWF(von Willebrand factor),TFPI, andSERPINE1belonging to the complement and coagulation cascade were under expressed in WM vs. IgMMGUS. Notably, some authors have demonstrated that a low level of VWF was associated with high serum IgM levels and withCXCR4mutations in WM patients, and that response to treatment improves VWF in WM patients (Castillo et. al. BJH 2019).
Genes encoding zinc finger proteins (ZNF) (n=120) were deregulated in the comparison between WM vs. IgMMGUS, and vs. CTRLS CD19+ cells in all patterns. We suggest the possible role of ZNF in the transcription regulation and cancer progression in the comparison between the 3 groups of subjects. Of note,ZNF804AandZNF215were upregulated in WM vs. IgMGUS and WM vs. CTRLs with high FC (Guerrera et. al. Haemat 2018).
TJP1was under expressed in WM CD19+ and WM CD138+ cells. We noted very high FC in CD138+ cells: WM vs. IgMMGUS (FC=-2,65), and WM vs. CTRLs (FC=-6,18). HighTJP1expression in myeloma plasma cells was associated to a better and longer response to protease Inhibitors (PI) suggesting this gene as a biomarker to identify patients which can benefit from PI-based therapy (Zhang et. al. Cancer Cell 2016).
Our findings demonstrate that B cells show different gene expression levels in membrane adhesion and cell lineage pathways in WM compared to IgMMGUS and CTRLs, suggesting the possible role of these genes in the progression of IgMMGUS to WM.
Tedeschi:AstraZeneca:Consultancy, Membership on an entity's Board of Directors or advisory committees;Janssen spa:Membership on an entity's Board of Directors or advisory committees, Speakers Bureau;AbbVie:Consultancy, Membership on an entity's Board of Directors or advisory committees, Speakers Bureau;BeiGene:Consultancy, Membership on an entity's Board of Directors or advisory committees;Department of Hematology Niguarda Hospital Milano:Current Employment;Sunesis:Consultancy.Montillo:F. Hoffmann-La Roche:Honoraria, Research Funding;Astra Zeneca:Honoraria;AbbVie:Honoraria, Speakers Bureau;Janssen:Honoraria, Speakers Bureau;Verastem:Honoraria;Gilead:Honoraria, Speakers Bureau.
Author notes
Asterisk with author names denotes non-ASH members.
